(Số 03/NQ-HĐND ngày 31-5-2019)
Hội đồng nhân dân tỉnh Nam Định
khóa XVIII, kỳ họp thứ tám (kỳ họp bất thường)
Căn cứ Luật Tổ chức chính quyền địa phương ngày 19-6-2015;
Căn cứ Luật Ngân sách Nhà nước ngày 25-6-2015;
Căn cứ Nghị định số 163/2016/NĐ-CP ngày 21-12-2016 của Chính phủ quy định chi tiết thi hành một số điều của Luật Ngân sách Nhà nước;
Căn cứ Quyết định số 12/2017/QĐ-TTg ngày 22-4-2017 của Thủ tướng Chính phủ quy định nguyên tắc, tiêu chí, định mức phân bổ vốn ngân sách Trung ước và tỷ lệ vốn đối ứng của ngân sách địa phương thực hiện Chương trình mục tiêu quốc gia xây dựng nông thôn mới giai đoạn 2016-2020;
Căn cứ Quyết định số 2106/QĐ-BKHĐT ngày 31-12-2018 của Bộ Kế hoạch và Đầu tư về giao chi tiết dự toán chi ngân sách Trung ương thực hiện các Chương trình mục tiêu quốc gia năm 2019;
Xét Tờ trình số 57/TTr-UBND ngày 3-5-2019 của Ủy ban nhân dân tỉnh về việc phân bổ vốn đầu tư phát triển Chương trình mục tiêu quốc gia xây dựng nông thôn mới năm 2019; Báo cáo thẩm tra của Ban Kinh tế - Ngân sách Hội đồng nhân dân tỉnh; ý kiến thảo luận của đại biểu Hội đồng nhân dân tại kỳ họp.
Quyết nghị:
Điều 1. Phân bổ vốn đầu tư phát triển Chương trình mục tiêu quốc gia xây dựng nông thôn mới năm 2019
1. Nguồn vốn
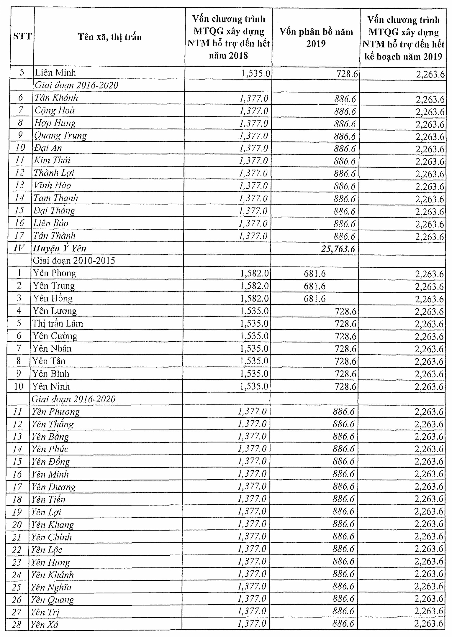
| Danh mục
| Kế hoạch năm 2019 (triệu đồng)
|
| - Phân bổ cho các xã, thị trấn xây dựng nông thôn mới
| 168.300
|
| - Hỗ trợ phát triển hợp tác xã theo Quyết định số 2261/QĐ-TTg và thực hiện Đề án phát triển 15 nghìn hợp tác xã, liên hiệp hợp tác xã nông nghiệp hoạt động hiệu quả đến năm 2020 theo Quyết định số 461/QĐ-TTg của Thủ tướng Chính phủ.
| 12.700
|
| Tổng số
| 181.000
|
2. Phương án phân bổ
| STT
| Danh mục
| Kế hoạch năm 2019 (triệu đồng)
|
| 1
| Hỗ trợ xã xây dựng nông thôn mới
| 168.300,0
|
| | - 28 xã giai đoạn 2010-2015 đã được hỗ trợ 1.582 triệu đồng và 11 xã điểm giai đoạn 2010-2015 (mỗi xã 681,6 triệu đồng)
| 26.582,4
|
| | - 57 xã giai đoạn 2010-2015 đã được hỗ trợ 1.535 triệu đồng (mỗi xã 728,6 triệu đồng)
| 41.530,2
|
| | - 113 xã giai đoạn 2016-2020 đã được hỗ trợ 1.377 triệu đồng (mỗi xã 886,6 triệu đồng)
| 100.187,4
|
| 2
| Hỗ trợ phát triển hợp tác xã
| 12.700,0
|
| | - Cải tạo, nâng cấp tuyến đường trục chính vào khu sản xuất của hợp tác xã nông nghiệp Nam Điền, xã Điền Xá, huyện Nam Trực.
| 7.200,0
|
| | - Hỗ trợ hạ tầng hợp tác xã nông nghiệp
| 5.500,0
|
| | Tổng số
| 181.000,0
|
(Chi tiết có các phụ biểu số 1, số 2 kèm theo)
Điều 2.
Giao Ủy ban nhân dân tỉnh tổ chức thực hiện Nghị quyết.
Điều 3.
Thường trực Hội đồng nhân dân, các Ban Hội đồng nhân dân và các đại biểu Hội đồng nhân dân tỉnh giám sát việc thực hiện Nghị quyết.
Nghị quyết này đã được Hội đồng nhân dân tỉnh Nam Định khóa XVIII, kỳ họp thứ tám (kỳ họp bất thường) thông qua ngày 31-5-2019 và có hiệu lực từ ngày thông qua./.
Chủ tịch
Trần Văn Chung
-------------------------------------------------
Phụ biểu số 1, số 2