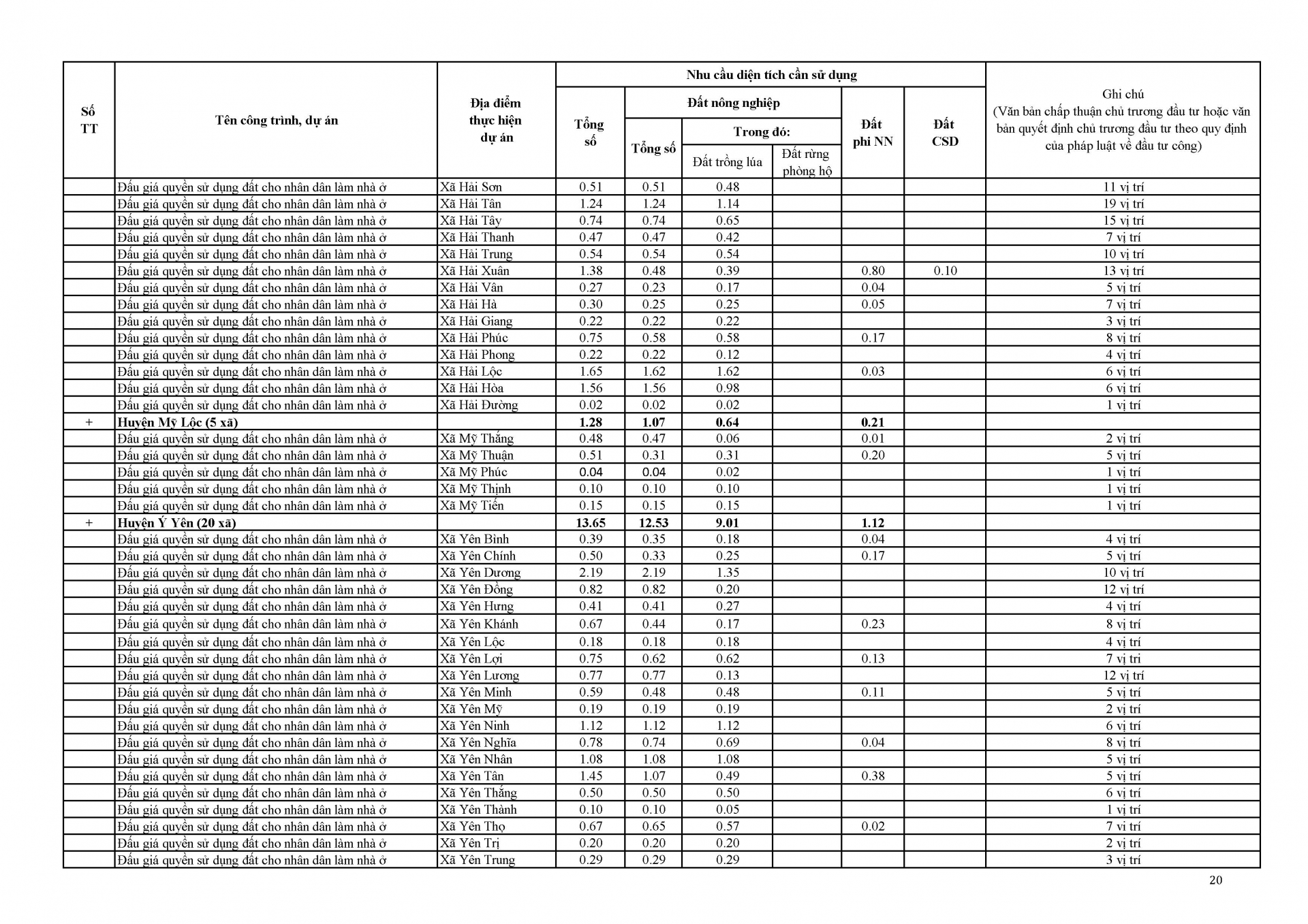
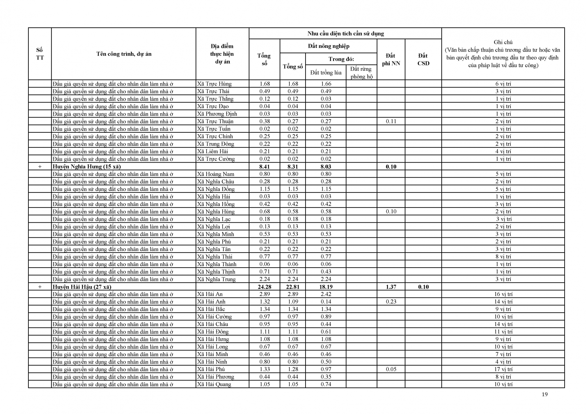
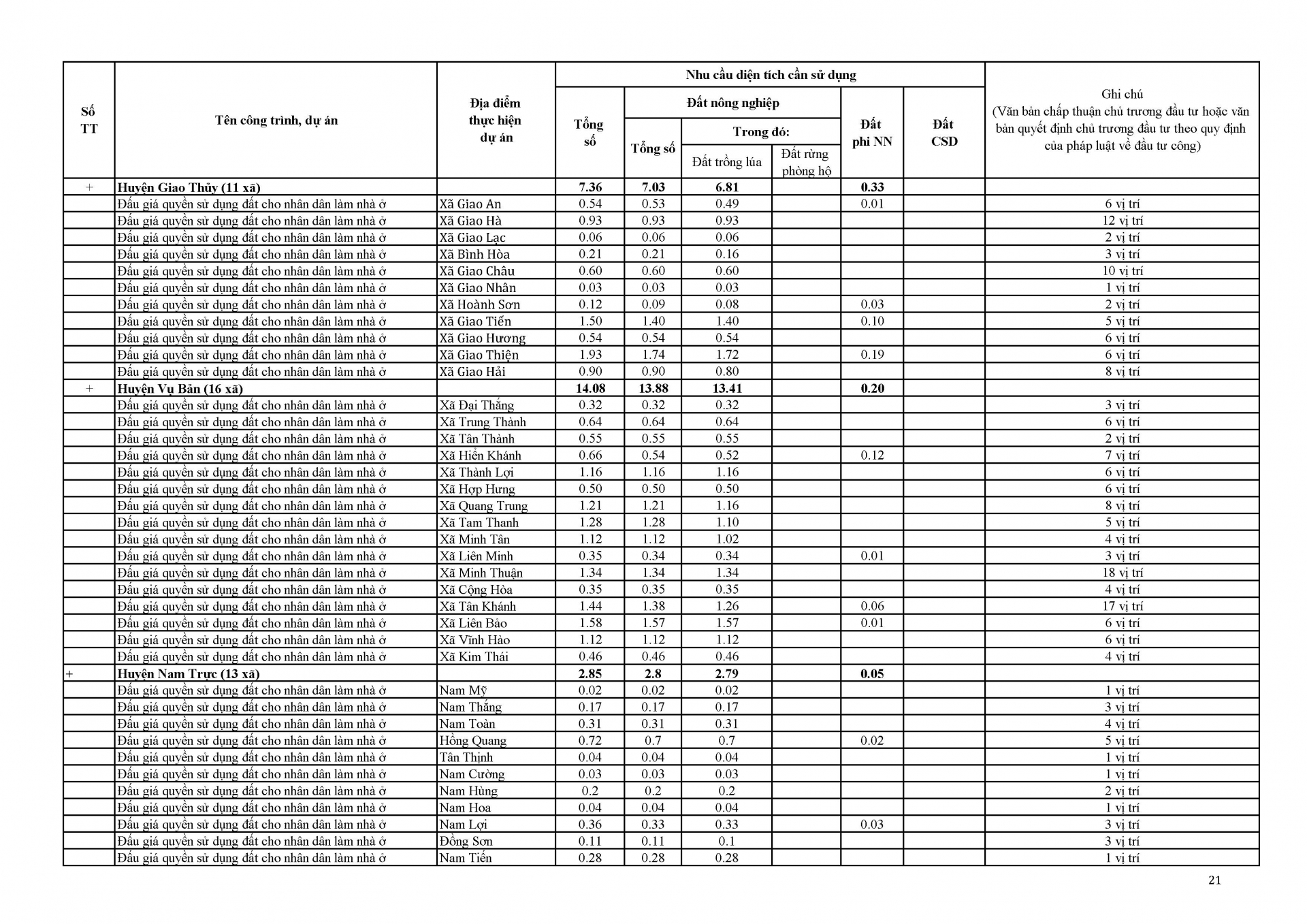
Chi tiết theo phụ lục kèm theo Nghị quyết số: 61/NQ-HĐND ngày 02 tháng 12 năm 2021

    Thứ Sáu, 10/12/2021, 09:12
    Zalo

    Tin cùng chuyên mục